在日常生活中,水結成冰或蒸發成蒸氣的過程稱為「相變」,這些現象都是可由經典熱力學完美解釋。然而,在量子世界中,相變的驅動因素並非溫度,而是粒子在微觀尺度上的量子漲落──即粒子的隨機運動。
量子相變和退禁閉量子臨界點之謎
量子相變通常發生在絕對零度(-273.15°C),通過調節壓力、磁場、電場等等外界參數控制量子漲落的強度,就可以使得物質的形態在一個特殊的點──量子臨界點上發生從有序態到無序態的轉換。傳統上,量子臨界點被視為有序態(粒子規則排列)與無序態(粒子混沌運動)之間的分界,其理論基礎由凝聚態物理的「聖杯」朗道理論來奠定(作者註:Lev Landau [列夫·朗道] 蘇聯著名物理學家,凝聚體物理學的奠基人)。然而,科學家們在近年的研究中發現,在朗道理論之外還可以存在更加神奇的量子臨界點──退禁閉量子臨界點(deconfined quantum critical point, DQCP),在這樣的相變點上, 傳統的凝聚態物理學範式被徹底打破。
退禁閉量子臨界點並非分隔有序與無序的邊界,而是橫亙在兩種不同的有序態之間。
這種「秩序與秩序之間的轉換」徹底顛覆了傳統相變理論,引發了學界數十年關於其本質是連續相變(平滑漸變)還是一級相變(劇烈突變)的激烈爭論。退禁閉量子臨界點是一個展示量子物理學神秘性質的代表性案例,充分體現了量子世界中粒子的行為往往違背人們所熟悉的規則。這種特殊的發生在兩種有序態之間的量子現象,顛覆了經典物理對相變(有序態與無序態的轉換)的理解,自2000年左右提出以來,一直是國際量子物理學的前沿課題。
近日,香港大學物理學系孟子楊教授與博士研究生宋孟涵,聯同香港中文大學、耶魯大學、加州大學聖塔芭芭拉分校、波鴻魯爾大學及德勒斯登工業大學的研究團隊,通過系統、嚴格地計算退禁閉量子臨界點處量子糾纏性質,成功揭示了退禁閉量子臨界點過去不為人知的本質。該研究提供了突破性的證據,顯示量子物質在這些神秘臨界點的行為可能包含尚未被理解的新物理規則。這項研究2025年在國際權威刊物《科學進展》(Science Advances)上發表,並有望重塑我們對量子力學、材料科學乃至宇宙本質的認知。
糾纏熵:打開量子黒盒子的金鑰
為了研究這奇特的量子現象,港大研究團隊透過量子蒙特卡洛模擬(一種量子系統的電腦建模方法)與理論分析的深度結合,系統性地研究了二維 SU(N)自旋模型(一種能實現退禁閉量子臨界點的晶格模型,如圖1所示)中的糾纏熵行為(作者註:糾纏熵也是信息論中一個重要概念,由著名的數學家、物理學家、計算機科學家馮·諾伊曼 [John von Neumann] 在1930至40年代提出。關於他和布達佩斯一眾科學「火星人」的故事,見作者前文〈摒棄名譽和頭銜 推進人類文明發展──尋找火星叔叔馬丁〉、〈淡泊名利卻挽救世人的科學家──尋找火星叔叔馬丁〉)。
在量子物理的框架中,糾纏熵是一種描述粒子量子關聯強度的物理量,猶如一扇窺探量子系統深層結構的窗口,能窺探量子系統的深層結構。

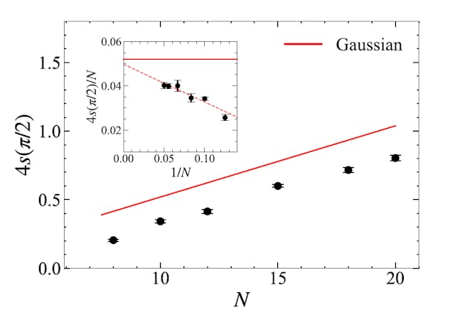
研究發現了突破性的證據。如圖2所示,當對稱性參數N較小時,退禁閉量子臨界點處的糾纏熵呈現反常「對數行為」,即糾纏熵隨系統大小以對數函數增⻑,而非傳統理論預測的線性或其他標度行為。這一結果與傳統連續相變理論的預測直接矛盾,顯示在低N的情況下,退禁閉量子臨界點可能無法用傳統連續相變理論描述,暗示量子漲落中存在尚未被認知的新物理機制。
更具顛覆性的是,團隊發現了對稱性參數N的關鍵閾值效應:當N超過該閾值時,退禁閉量子臨界點展現出與共形不動點一致的行為特徵(如圖3所示),顯示系統在此條件下可能真正實現了連續量子相變。 這項發現為統一理論解釋提供了關鍵線索,表明量子臨界行為可能對系統對稱性具有高度敏感性,只有在特定條件下才能展現連續相變的特性。


意義深遠的啟示
此項研究工作,通過對於量子糾纏的系統性、準確性計算,在退禁閉量子臨界這個獨特的窗口中,讓人們可以深入探索量子力學、對稱性與臨界現象之間的複雜關係。了解它們的本質可能帶來以下幾方面的重要啟示:
奇異量子態:退禁閉量子臨界點與量子自旋液體、拓撲量子物態等新奇物態密切相關,後者被認為是拓樸量子計算和量子計算機的理想載體。
基礎理論革新:挑戰凝聚態物理學的朗道範式,推動發展超越傳統對稱性破缺理論的新框架,建立新的量子物質科學理論框架。
科技革命前瞻:提供設計高溫超導體、量子磁性材料等全新理論指導。
從這些深遠的意義可以看出,退禁閉量子臨界點作為量子力學中的重要課題,位於現代物理研究的前沿,展現了探索未知領域的巨大潛力。港大物理學家在這項研究工作中,透過對糾纏熵與SU (N)自旋模型的深入分析,逐步揭示了這些臨界現象的內在機制,為理解量子臨界點的本質邁出了重要一步。
以上研究以"Evolution of entanglement entropy at SU(N) deconfined quantum critical points"為題,發表在國際知名期刊《科學進展》(Science Advances)。 如欲參閱完整論文,可透過以下連結瀏覽:https://www.science.org/doi/10.1126/sciadv.adr0634
個人簡歷:
卡洛(筆名),香港大學物理系教授,凝聚態物理學研究從業人員,主要關注量子多體系統中的模型設計和計算方法求解。無聊時寫些介紹科研甘苦的遊戲文章以自遣。詳見其網頁https://quantummc.xyz/。
















































